全球數百萬人受尿失禁困擾,干細胞療法為脊髓損傷導致的神經源性膀胱功能障礙提供了新的治療方向。
干細胞治療尿失禁:顯著減少發作次數,改善生活質量 | 案例證實
近日,Akhlaghpasand等研究團隊在《World Neurosurgery》發表了一項突破性臨床研究,結果顯示聯合細胞治療可顯著改善脊髓損傷導致的神經源性膀胱功能。治療后6個月,患者尿失禁發作次數明顯減少,生活質量評分獲得顯著提升。

01 神經源性膀胱的治療挑戰
神經源性膀胱是脊髓損傷后最常見的并發癥之一,患者面臨著巨大的生活挑戰和健康風險:
- 頻繁尿失禁嚴重影響社交活動和心理健康
- 排尿功能障礙導致尿路感染風險增加
- 腎功能惡化可能最終需要透析治療
- 生活質量顯著下降,伴有焦慮和抑郁等心理問題
傳統管理方法包括間歇性導尿、抗膽堿能藥物和膀胱擴大術等,但這些方法只能緩解癥狀,無法解決根本的神經功能障礙。

02 干細胞治療的科學基礎
干細胞療法為神經源性膀胱提供了全新的治療思路:
多重修復機制:分泌多種神經保護和免疫調節因子,包括腦源性神經營養因子(BDNF)、睫狀神經營養因子,神經生長因子和神經營養蛋白-3等,這些細胞因子刺激神經生長和再生。
功能恢復作用:促進受損神經組織修復,改善膀胱逼尿肌和括約肌功能協調性,恢復膀胱感覺和容量感知。
03 研究設計與患者特征
患者篩選:共招募了32例患者,只有29例NGB患者進行最終隨訪(有3例患者失訪),其中治療組13例(男10例),平均年齡35.0 ± 8.8歲,4例頸椎SCI,9例胸部損傷;對照組16例(男10例),平均年齡32.9 ± 7.6,5例頸椎SCI,11例胸部損傷(見表1)。

04 創新性治療方法
方 法:將雪旺細胞(SCs)和骨髓間充質干細胞(BM-MSCs)混合在6ml生理鹽水中,每種細胞類型的濃度為5*106個細胞/mL,然后使用24G針在L4/L5水平進行腰椎穿刺,注射后1小時出院。對照組患者僅接受標準康復治療,無額外干預。
05 安全性表現良好
治療安全性結果顯示:
不良事件記錄:
- 主要包括神經性疼痛、疲勞、感覺異常和痙攣
- 9例不良事件為I級(輕度)
- 5例為II級(中度)
- 所有II級不良事件均通過標準治療成功恢復
與治療相關性:
- 所有報告的不良事件中,只有3名患者的感覺異常可能與干預有關
- 無嚴重不良事件報告
- 無治療相關退出病例
這些結果表明,鞘內注射聯合細胞治療安全性良好,耐受性高。

06 膀胱功能顯著改善
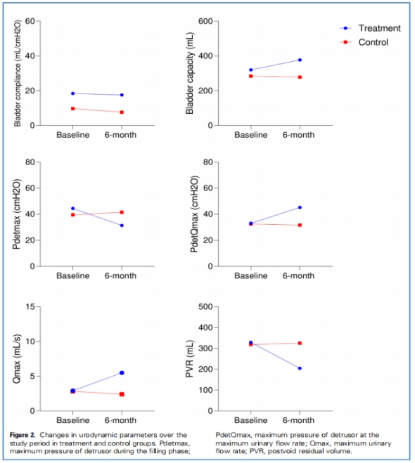
尿動力學參數評估顯示:與基線相比,注射后6個月,治療組最大尿流率時逼尿肌最大壓力和最大尿流率顯著增加,排尿后殘余量和充盈期逼尿肌最大壓力顯著降低,膀胱容量和膀胱感覺也得到改善,對照組中則沒有患者報告此類變化。與對照組相比兩組間存在顯著差異。(圖2)
膀胱功能的改善表明干細胞治療可能促進了神經通路的重建和膀胱組織的修復。

07 尿失禁發作次數減少
尿失禁和感染:與對照組相比,治療組每天尿失禁平均發作次數顯著減少(治療組:-2.2± 2.1; 對照組:-0.5±1.2)。治療組和對照組尿路感染平均發作次數相比,組間變化沒有顯著差異。
08 生活質量全面提升
尿失禁生活質量(I-QOL)問卷:6個月后,治療組和對照組I-QOL總分變化有顯著差異。此外,I-QOL問卷3個領域(包括回避行為、社會心理影響和社交尷尬)與對照組相比,治療組在注射后6個月顯著改善,I-QOL總分和領域分數的變化如圖3所示。

09 研究意義與臨床價值
這項研究具有重要臨床意義:
治療策略創新:首次聯合使用雪旺細胞和骨髓間充質干細胞,鞘內注射提供直接靶向遞送,為神經源性膀胱提供全新治療思路。
安全性證實:證明聯合細胞治療的安全性,為更大規模臨床試驗奠定基礎。
療效證明:顯示膀胱功能和尿失禁的顯著改善,生活質量全面提升,為難以治療的神經源性膀胱提供新希望。
總 結:這項發表在《World Neurosurgery》上的研究表明,骨髓間充質干細胞和雪旺細胞聯合鞘內給藥可顯著改善脊髓損傷導致的神經源性膀胱功能,減少尿失禁發作次數,提高生活質量,且安全性良好。
隨著進一步研究的深入,聯合細胞治療有望成為神經源性膀胱綜合管理的重要組成部分,特別是對于那些傳統治療效果有限的患者。該研究為再生醫學在泌尿系統疾病中的應用提供了重要證據。
參考資料:
Mohammadhosein Akhlaghpasand, Roozbeh Tavanaei, Farzad Allameh, Maede Hosseinpoor, Hossein Toreyhi,Maryam Golmohammadi, Atieh Hajarizadeh, Alireza Alikhani, Maryam Hafizi, Maryam Oraee-Yazdani,Alireza Zali, Saeed Oraee-Yazdani.Improvement of Neurogenic Bladder Dysfunction Following Combined Cell Therapy with Mesenchymal Stem Cell and Schwann Cell in Spinal Cord Injury: A Randomized,Open-Label, Phase II Clinical Trial.doi.org/10.1016/j.wneu.2024.10.131.
免責說明:本文僅用于傳播科普知識,分享行業觀點,不構成任何臨床診斷建議!杭吉干細胞所發布的信息不能替代醫生或藥劑師的專業建議。如有版權等疑問,請隨時聯系我。
掃碼添加官方微信