近日,細胞移植期刊刊發了一篇名為“在11名膝骨關節炎患者中進行關節內注射脂肪間充質干細胞GXCPC1的安全性和耐受性:試點研究”的文章。
文章主要內容旨在確定關節內注射同種異體脂肪源性間充質干細胞(ADSC)GXCPC1在膝骨關節炎(OA)受試者中的安全性及其初步療效結果。經過一年的隨訪后,發現脂肪間充質干細胞治療骨關節炎是安全的,沒有觀察到與治療相關的嚴重不良事件。與基線相比,低劑量和高劑量組的受試者在接受GXCPC1治療后,疼痛和膝關節功能均表現出改善趨勢。

介紹:骨關節炎 (OA) 是一種常見的慢性退行性關節疾病,影響老年人和肥胖人群。女性膝關節OA的患病率明顯高于男性,75歲左右為16%~17%,其中男性為10%~12%,女性為18%~20%。OA最常見的臨床表現是疼痛、腫脹、僵硬、功能受限、活動受限,并導致健康相關生活質量 (HRQOL) 下降。
目前膝骨關節炎的治療大多是對癥治療,重點是減輕疼痛、控制炎癥和維持關節功能,包括撲熱息痛(對乙酰氨基酚)、非甾體類抗炎藥(NSAID)、皮質類固醇和透明質酸(HA)。然而,上述治療只能緩解,OA的進展卻在不斷加重。

間充質干細胞 (MSC) 具有多譜系分化潛力、免疫抑制特性和低免疫原性,可廣泛使用。其中,脂肪干細胞 (ADSC) 因其豐富、可獲取性和侵入性較小的采集程序而成為有前景的來源。ADSC已被提議作為膝關節OA的一種有吸引力的治療方法。許多臨床前研究已證實關節內注射脂肪間充質干細胞可減少滑膜炎、骨贅形成和軟骨退變。此外,臨床研究表明,自體脂肪干細胞可以改善膝關節功能并減輕疼痛,且不會引起不良事件。
最近的一項研究發現,與基線相比,在長達12個月的時間內,使用自體脂肪干細胞可以顯著改善患者的疼痛和生活質量。雖然大多數研究都檢驗了自體ADSC的功效和安全性,但同種異體脂肪干細胞具有應用可及性的優勢。僅研究了少數針對膝關節OA患者的同種異體脂肪干細胞治療的臨床試驗。
此外,脂肪組織來源的不同程序或方法在骨科應用中非常重要。不同的收獲和分離方法將影響脂肪干細胞的細胞活力和功能表型。到目前為止,僅研究了少數符合監管要求的高質量、高濃度細胞的臨床骨科相關應用。
《細胞移植》期刊:關節內注射干細胞顯著改善骨關節炎患者的疼痛和膝關節功能
因此,我們在本研究中進行了I期臨床試驗,以評估在膝關節骨關節炎患者膝關節注射符合監管要求的同種異體脂肪干細胞的安全性、耐受性和有效性。
3+3I期研究設計有兩個劑量遞增隊列:低劑量(6.7×106GXCPC1,N=5)和高劑量(4×107GXCPC1,N=6)。
- 主要終點是安全性,通過記錄整個試驗過程中的不良事件來評估;
- 次要終點包括西安大略和麥克馬斯特大學關節炎指數 (WOMAC) 的總分、疼痛、僵硬和功能分量表、疼痛視覺模擬量表 (VAS) 以及12項簡表 (SF-12) 健康調查問卷。
結果
受試者的性格和基線特征:該研究共篩選了13名受試者;兩名受試者篩選失敗,導致低劑量組中有五名受試者,高劑量組有六名受試者(圖1B)。兩名WOMAC疼痛評分分別為4和2的受試者被錯誤地接受了低劑量的GXCPC1。然而,兩名受試者仍然完成了長期安全性監測和療效評價的試驗。
ITT人群的人口統計和基線特征如表1所示。在ITT人群中,低劑量組中所有受試者的平均 (SD) 年齡為66.2 (5.89) 歲,高劑量組中為64.5 (5.32) 歲。所有受試者的體重指數 (BMI) <35kg/m2,低劑量組中所有受試者的平均 (SD) BMI為26.6 (4.68) kg/m2,高劑量組中為29.3 (2.82)隊列。在這兩個隊列中,受試者均為膝關節骨關節炎II級至IV級的女性。自診斷以來膝關節OA的平均持續時間在低劑量組中為7.07 年,在高劑量組中為4.31年。

脂肪干細胞治療骨關節炎安全性
試驗中沒有受試者經歷過DLT。兩個隊列中的所有受試者均報告了AE(表2)。低劑量隊列中的3名受試者 (60.0%) 和高劑量隊列中的1名受試者 (16.7%) 經歷了≥3級AE。低劑量隊列中的兩名受試者 (40.0%) 和高劑量隊列中的六名受試者 (100.0%) 報告了與治療相關的AE,但沒有一個是嚴重的。低劑量隊列中的兩名 (40.0%) 受試者和高劑量隊列中的一名 (16.7%) 受試者出現SAE,需要住院或延長住院時間。所有SAE均被認為與治療無關。此外,本研究中未報告疑似意外嚴重不良反應(SUSAR)或死亡。表3顯示,兩個隊列中最常見的治療相關AE是注射部位疼痛。

數據以“不良事件數:發生不良事件的受試者數(%)”的形式呈現。AE:不良事件;ITT:意向治療;SAE:嚴重不良事件;SUSAR:疑似意外的嚴重不良反應。

脂肪干細胞治療骨關節炎的功效
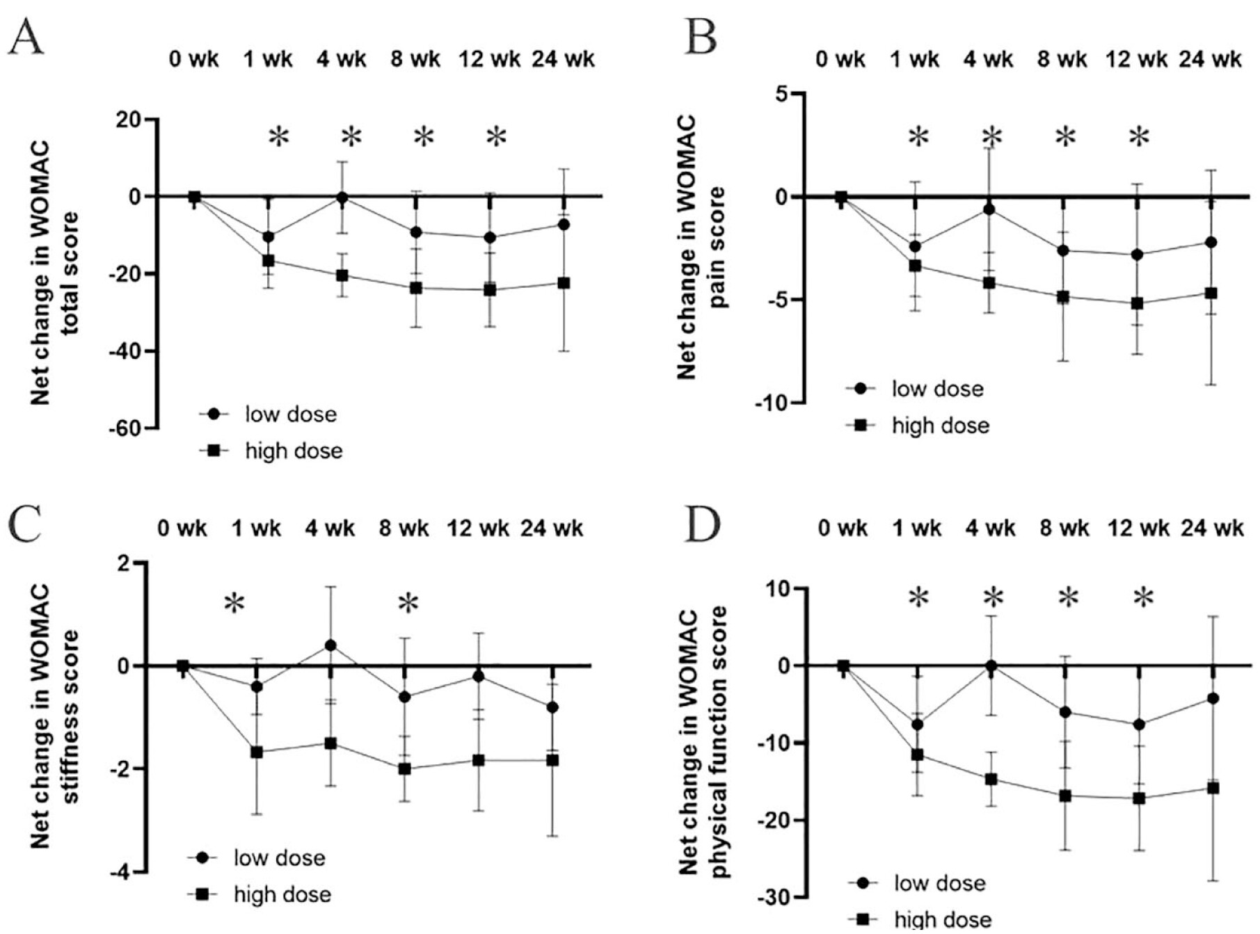
在這兩個隊列中,從基線到治療后訪視的凈變化中,WOMAC總分和分項得分(疼痛、僵硬和身體功能)均呈下降趨勢(圖2)。隨著時間的推移,高劑量組的WOMAC總分和分項分數比低劑量組下降幅度更大,這代表了更大的改善。高劑量隊列中從基線到治療后的凈變化顯示,與基線相比,第1、4、8和12周的WOMAC總分、疼痛和身體功能評分有顯著差異(圖2A、B和D) 。給予高劑量GXCPC1后1周和8周,WOMAC硬度評分與基線相比也存在顯著差異(圖2C)。然而,低劑量組在WOMAC總分、疼痛、僵硬和身體功能分項方面沒有顯著差異。

(A) WOMAC總分,(B) WOMAC疼痛評分,(C) WOMAC僵硬評分,(D) WOMAC身體功能評分。
與這些結果一致,兩個隊列的疼痛VAS從基線到治療后就診的凈變化均呈下降趨勢(圖3)。在第12周和第24周時,低劑量組中觀察到疼痛VAS存在顯著差異。在第4、8和12周時,高劑量組中觀察到疼痛VAS顯著下降。

從基線到治療后隨訪,SF-12身體成分總結(PCS)的凈變化在兩個隊列中均呈增加趨勢(圖4A)。GXCPC1給藥后1周至24周觀察到高劑量組中SF-12PCS的增加。相反,我們發現任一隊列中的SF-12MCS(精神成分總結)隨時間推移均沒有統計學差異(圖4B)。

討論
本研究初步證實關節內注射GXCPC1對于膝骨關節炎受試者是安全且耐受性良好的。本研究基于I期臨床試驗,重點關注受試者中與治療相關的不良事件。
我們觀察到,與同種異體ADSC相關的最常見并發癥是注射部位疼痛,低劑量組中40%的受試者和高劑量組中100%的受試者出現注射部位疼痛。所有與治療相關的不良事件均被評為輕度或中度,并且很快全部消退。在其他報道的臨床試驗中也觀察到了這些短暫的副作用。也許,關節腔內注射ADSCs后會產生生理反應或產生抗組蛋白H2B抗體。此外,同種異體ADSC已在眾多臨床試驗中被證明是安全的。
對文獻的系統回顧發現,844例關節內MSC手術中僅發生4例SAE,包括1例感染、1例肺栓塞和2例與干預無關的事件。在我們的研究中,在48周的研究期間,沒有報告與GXCPC1相關的嚴重不良事件。總體而言,這項研究證明GXCPC1用于膝關節OA治療是安全且耐受性良好的。
此外,許多研究報道ADSC治療可以改善KL分級I-III甚至KL分級IV患者的膝關節疼痛、腫脹、僵硬和功能。Chahal等人表明MSC改善了晚期KL膝關節OA患者的疼痛、僵硬、癥狀和生活質量。
此外,一些KL分級為IV級的患者不愿意接受關節置換術。因此,我們想知道GXCPC1是否可以改善晚期KL膝OA患者的癥狀。在本研究中,我們招募了一名KL分級IV級的患者,該研究中的KL分級IV級患者很特殊。根據她的X光片,該患者的膝蓋被診斷為KL分級IV。然而,基線WOMAC疼痛評分和VAS分別為8和14。或許,這位患者似乎對疼痛相對不敏感。
因此,所有疼痛問卷得分都不高。盡管所有疼痛問卷評分都不高,但在GXCPC1治療后,24周時觀察到WOMAC總分和VAS從基線到治療后的改善(分別為3和14)。從GXCPC1治療后的VAS問卷評分來看,該患者的疼痛癥狀完全改善。因此,從這些結果來看,脂肪干細胞療法(GXCPC1)對于KL分級為IV級的OA患者具有治療潛力。
總之,脂肪干細胞療法被發現對于治療膝關節骨關節炎受試者是安全有效的。低劑量或高劑量的脂肪干細胞療法組表現出安全性,且疼痛緩解持續時間長。脂肪干細胞療法(GXCPC1)給藥風險較低,這些發現支持脂肪干細胞療法的持續開發。
參考資料:Chen C-F, Chen Y-C, Fu Y-S, et al. Safety and Tolerability of Intra-Articular Injection of Adipose-Derived Mesenchymal Stem Cells GXCPC1 in 11 Subjects With Knee Osteoarthritis: A Nonrandomized Pilot Study Without a Control Arm. Cell Transplantation. 2024;33. doi:10.1177/09636897231221882
免責說明:本文僅用于傳播科普知識,分享行業觀點,不構成任何臨床診斷建議!杭吉干細胞所發布的信息不能替代醫生或藥劑師的專業建議。如有版權等疑問,請隨時聯系我。
掃碼添加微信