腎病綜合征是一組由多種病因引起的臨床癥候群,主要表現為大量蛋白尿、低蛋白血癥、水腫和高脂血癥。傳統治療手段如糖皮質激素、免疫抑制劑等雖能在一定程度上緩解癥狀,但部分患者存在激素抵抗、藥物副作用大等問題,且難以從根本上修復受損的腎臟組織。
隨著再生醫學的飛速發展,干細胞治療腎病綜合征的研究取得了一系列令人矚目的進展,為廣大腎病綜合征患者帶來了新的希望。
近幾年,全球在干細胞治療腎病綜合征領域取得多項突破,本文將系統梳理這一領域的關鍵進展,解析技術路線創新與臨床試驗突破,為腎病綜合征的再生醫學治療提供全景式洞察。

2022-2025年干細胞治療腎病綜合征最新臨床研究進展
一、干細胞治療腎病綜合征的技術原理
干細胞治療的核心機制包括:
組織修復:干細胞可分化為腎小球上皮細胞、腎小管上皮細胞,替代受損組織;同時分泌VEGF、HGF等生長因子,促進血管新生和抗纖維化。
免疫調節:通過抑制T細胞活化、減少炎癥因子(如IL-6、TNF-α)釋放,降低免疫介導的腎損傷。
代謝調控:改善脂代謝紊亂,減少氧化應激對腎臟的進一步損傷。
二、2022-2025年腎病綜合征最新臨床進展
2022年干細胞治療腎病綜合征臨床進展
2022年8月,意大利米蘭在行業期刊《干細胞研究與治療》上發表了一篇關于《臍血間充質基質細胞在兒童耐多藥腎病綜合征中的首次臨床應用》的研究成果。
該研究設計為前瞻性、開放標簽、單組I-II期先導研究,納入11例至少接受過兩種療法但仍耐多藥(MDR-INS)的兒童患者。所有患者均完成臍血間充質基質細胞(CB-MSC)輸注計劃,未出現輸注相關不良事件或毒性反應。

在9例可評估療效的患者中,治療后12個月的尿蛋白/肌酐比值(uPr/uCr)中位值與基線相比無顯著變化,但3名患者達到部分或完全緩解。進一步分析發現,基線uPr/uCr較低是緩解的預測因素,而調節性T細胞(Tregs)計數與CB-MSC治療無顯著關聯。
研究證實CB-MSC在MDR-INS患兒中的安全性良好,且可能通過免疫調節機制改善疾病狀態。這一初步探索為II期研究奠定了基礎,未來有望進一步驗證MSC在免疫介導性腎臟疾病中的臨床價值。
2023年干細胞治療腎病綜合征臨床進展
2023年9月,意大利羅馬腎臟病學實驗室牽頭在國際期刊《JCI Insight》上發表了一篇關于《自體間充質基質細胞治療嚴重類固醇依賴性腎病綜合征的I期研究》的臨床研究成果。評估自體骨髓間充質干細胞(BM-MSC)在患有重度類固醇依賴性腎病綜合征的兒童和青少年患者中的安全性和可行性。

本次研究納入了16名患者接受了治療。臨床結果顯示:
1.復發延遲與頻率降低
BM-MSC治療顯著改善兒童嚴重類固醇依賴性腎病綜合征的疾病活動性。治療后,兒童患者首次復發的中位時間從3.7個月延長至7.6個月,且12個月內復發次數中位數從2次降至1次。
同時,糖皮質激素依賴顯著減少,10名兒童中僅3人需使用激素(基線時全部使用),潑尼松累積劑量從3.4g/m2降至1.6g/m2,免疫抑制藥物種類需求也從2.5種減少至1種。(圖1)

2.綜合評分分析
綜合評分分析顯示,治療后12個月的累積評分從5降至2,表明疾病活動性全面下降。生活質量評估進一步支持這一結論:兒童患者身體健康評分從66顯著提升至100,且未觀察到激素相關副作用(如身高、BMI、血壓等)的惡化。
3.免疫調節機制
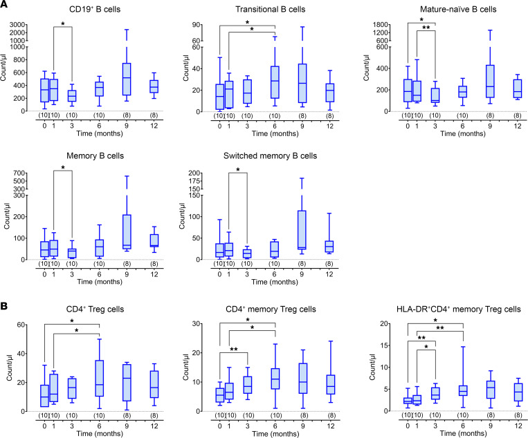
免疫調節機制分析表明,BM-MSC治療在兒童中誘導了短暫的免疫調節(3-6個月),表現為B細胞亞群(CD19+、記憶B細胞)減少、過渡B細胞增加,以及CD4+調節性T細胞(Treg)顯著增加(HLA-DR+活化記憶Treg)。然而,體外實驗未發現BM-MSC對B細胞和T細胞增殖或分泌能力的直接抑制作用。(圖2)

綜上所述,BM-MSC治療可有效改善兒童嚴重類固醇依賴性腎病綜合征的疾病活動性(延緩復發、減少激素依賴),其作用機制可能與兒童特異性的免疫調節相關。未來需進一步探索長期療效與安全性。
2024年干細胞治療腎病綜合征臨床進展
2024年10月,我國科研人員進行了一項干細胞治療腎病綜合征的有效性與安全性觀察研究。
研究選取腎病綜合征患者30例(男23例,女7例;腎小球腎炎15例,微小病變6例,膜增殖性腎小球腎炎2例,局灶節段腎小球硬化2例,膜性腎病5例),所有患者均符合診斷標準,經腎活檢證實病理類型,免疫抑制治療未緩解或反復復發,后自愿接受UCMSC治療。
治療前先給予緩慢靜推地塞米松5mg,肌肉注射異丙嗪25mg,皮下注射低分子肝素2500U;治療時采取外周靜脈輸注途徑,每周輸注1次,輸注量為1×10/kg/次,4次一療程。
期間配合激素及其他免疫抑制劑的應用:口服醋酸潑尼松0.8~1mg·kg-1d-1服用8周,逐漸減量(每兩周減5mg),減量至10mg/d維持。其中膜性腎病患者在激素減量至0.5mg·kg-1·d -1時加用雷公藤多苷口服20mg,每天3次,所有患者均給予對癥處理。
隨 訪:治療前后24h尿蛋白定量、血漿白蛋白、總蛋白的比較(圖3),治療前與治療后4周、8周、16周、24周比較,差異有統計學意義;膽固醇治療前后比較顯示,治廣前與治療后8周、16周、24周差異有統計學意義。

安全性:治療過程中發熱2例,惡心3例,皮疹1例,腹瀉2例, 肝功能異常1例,均表現比較輕微,給予對癥處理后很快恢復。
結 果:患者經過UCMSC治療4周左右,24h尿蛋白定量顯著減輕,血中白蛋白,總蛋白均得到改善。4周的總緩解率達到46.67%,隨訪到24周,患者的總緩解率升至70.0%。
綜上所述,UCMSC治療可顯著改善腎病綜合征患者的尿蛋白排泄、血漿白蛋白及膽固醇水平,4周總緩解率達46.67%,24周升至70.0%。研究證實UCMSC治療腎病綜合征的安全性良好,為難治性腎病綜合征患者提供了潛在的新型治療策略,未來需進一步擴大樣本量以驗證長期療效。
2025年干細胞治療腎病綜合征臨床進展
2025年2月,荷蘭分子生命科學研究所牽頭在行業期刊《腎臟病透析移植》上發表了一篇關于《使用iPSC衍生的足細胞對特發性腎病綜合征患者進行個性化疾病復發建模》的研究成果。
本次研究是科學家們想了解為什么有些腎病綜合征(如FSGS)患者會反復發作。他們選擇了5名患者,其中3人曾患FSGS(一種腎病復發類型),2人未復發。研究人員還找到了這些患者的腎臟捐獻者(親屬或匹配者),希望通過細胞實驗找到答案。

研究發現:
FAR檢測最靠譜:只有FAR能穩定區分患者和健康捐獻者的足細胞反應。
患者差異明顯:
- 3名FSGS患者:他們的足細胞在暴露于自身血漿后,FAR顯著升高(說明容易受傷)。
- 2名未復發患者:捐獻者的足細胞在接觸他們血漿時,FAR無明顯變化(說明血漿“毒性”較低)。
交叉測試:當FSGS患者的血漿接觸到其他人的足細胞時,也會造成損傷,但程度不同(暗示個體對損傷的敏感性差異)。
研究表明這項技術可能成為個性化醫療工具:醫生可以通過患者足細胞的FAR反應,提前預測誰容易復發,從而調整治療方案。例如:對FAR高的患者,可能需要更積極的干預(如更早使用免疫抑制劑)。
綜上所述,這項研究通過iPSC技術實現了腎病綜合征的個體化復發預測,為干細胞治療提供了精準醫療的框架,同時深化了對疾病機制的理解。未來,其成果有望推動干細胞療法從“經驗性治療”向“科學化、個性化治療”轉型,最終改善患者預后并降低醫療成本。
三、面臨的挑戰與未來方向
盡管干細胞治療腎病綜合征已取得重要進展,但要成為臨床常規治療手段,仍面臨一些挑戰。
一方面,干細胞治療的精準性和穩定性有待進一步提高。不同來源、不同制備工藝的干細胞,其治療效果可能存在差異。如何優化干細胞的制備流程,確保細胞質量的均一性和穩定性,是當前研究的重點方向之一。
另一方面,干細胞治療的成本較高,限制了其廣泛應用。從干細胞的采集、培養、擴增到臨床應用,每個環節都需要專業的技術和設備支持,導致治療費用居高不下。
結語
隨著基礎研究的不斷深入和技術的持續創新,干細胞治療腎病綜合征有望取得更大突破。科學家們將致力于揭示干細胞修復腎臟組織的詳細分子機制,為優化治療方案提供理論依據。同時,通過改進干細胞培養技術、開發新型遞送系統等手段,提高干細胞治療的效果和安全性,降低治療成本。相信在不久的將來,干細胞治療將成為腎病綜合征治療領域的重要手段,為眾多患者帶來康復的曙光。
參考資料:
Morello, W., Budelli, S., Bernstein, D.A. et al. First clinical application of cord blood mesenchymal stromal cells in children with multi-drug resistant nephrotic syndrome. Stem Cell Res Ther 13, 420 (2022). https://doi.org/10.1186/s13287-022-03112-7
Vivarelli M, Colucci M, Algeri M, Zotta F, Emma F, L’Erario I, Busutti M, Rota S, Capelli C, Introna M, Todeschini M, Casiraghi F, Perna A, Peracchi T, De Salvo A, Rubis N, Locatelli F, Remuzzi G, Ruggenenti P. A phase I study of autologous mesenchymal stromal cells for severe steroid-dependent nephrotic syndrome. JCI Insight. 2023 Sep 22;8(18):e169424. doi: 10.1172/jci.insight.169424. PMID: 37561590; PMCID: PMC10561718.
Bartholomeus T van den Berge, Martijn van den Broek, Gianluca Di Giovanni, Hanna Debiec, Sharon Gloudemans, Quinty Leusink, Dirk den Braanker, Jack F M Wetzels, Pierre Ronco, Bart Smeets, Jitske Jansen, Rutger J Maas, Personalized disease recurrence modeling using iPSC-derived podocytes in patients with idiopathic nephrotic syndrome, Nephrology Dialysis Transplantation, 2025;, gfaf045, https://doi.org/10.1093/ndt/gfaf045
免責說明:本文僅用于傳播科普知識,分享行業觀點,不構成任何臨床診斷建議!杭吉干細胞所發布的信息不能替代醫生或藥劑師的專業建議。如有版權等疑問,請隨時聯系我。
掃碼添加微信