目前骨關節炎的治療主要集中于緩解疼痛,缺乏軟骨修復,效果不佳。透明質酸等粘稠補充劑可以改善癥狀,但幾個月后仍未被注意到。研究人員正在探索干細胞療法,例如間充質干細胞分泌組和間充質干細胞,它們可以修復軟骨損傷。研究的目的是評估和比較源自臍帶間充質干細胞 (UC-MSC) 的分泌蛋白組與透明質酸 (HA) 的有效性。
干細胞移植治療可改善膝骨關節炎的臨床療效并改變生物標志物
近日,國際期刊雜志《臨床醫學雜志》發表了一篇干細胞移植治療可改善膝骨關節炎的臨床療效并改變生物標志物的文獻綜述。

方法:一項開放標簽臨床試驗,將30名膝骨關節炎患者分為兩組,接受UC-MSC分泌組和透明質酸劑量。該研究使用VAS和WOMAC評估臨床結果,并測量治療前后的MMP-3和TGF-β1水平。
干細胞治療骨關節炎的臨床結果
基線特征:研究樣本由30名滿足研究開始時預定納入標準的個體組成。所有參與研究的參與者都順利完成了實驗任務,如圖1所示。參與者在2022年7月至12月期間被招募并隨后進行監測。參與者被隨機分配,然后分為兩組:一組接受UC-MSC分泌組 (n=15),而另一組接受HA (n=15)。

在這項研究中,兩組人口統計學變量之間沒有發現任何顯著差異,包括性別、體重指數 (BMI)、體力活動目標、骨關節炎 (OA) 的Kellgren Lawrence等級或25(OH) 濃度)D。該研究的大多數參與者主要是女性,骨關節炎分級為Kellgren Lawrence2-3級。此外,他們報告參加的體力活動水平較低,并且血清25(OH)D水平不足。
表1:簡要概述了患者的基本特征。

臨床結果:臍帶間充質干細胞分泌組和治療后HA結果的臨床評價包括通過主觀評價和客觀評價對患者進行評估。這些評估在多個時間點進行,包括初始評估、治療第1-5周以及12周治療期結束后的一周。
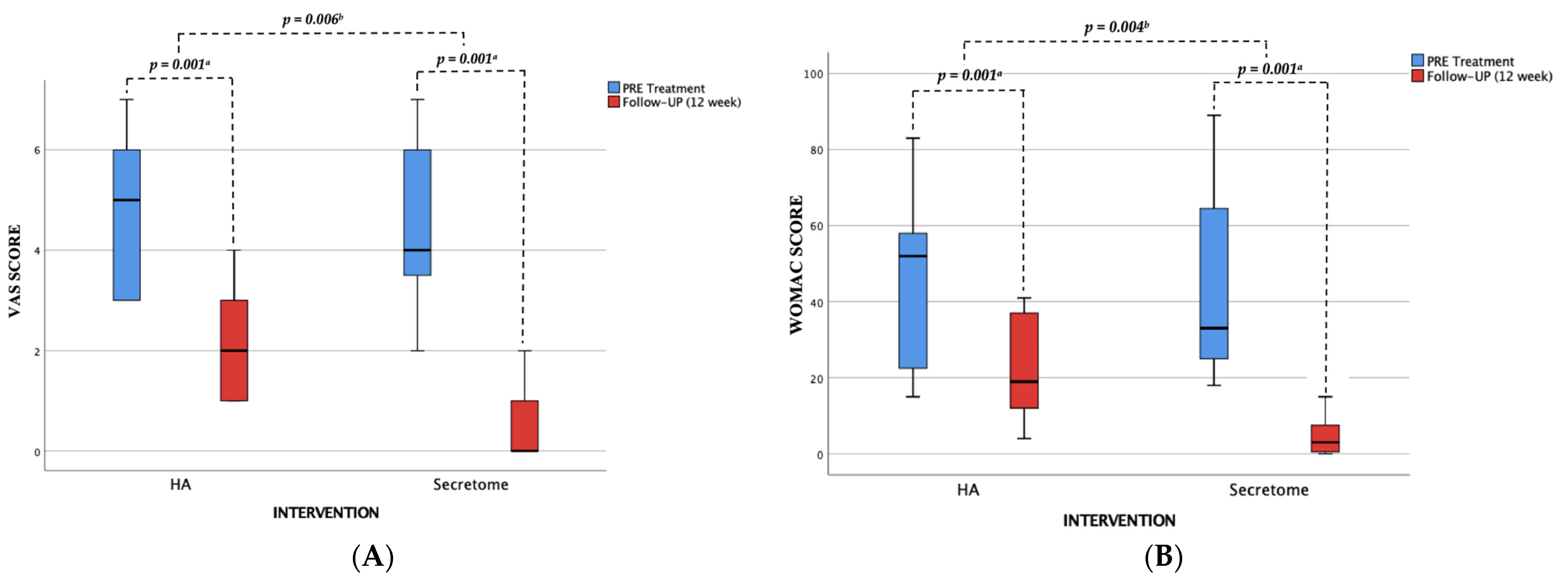
本研究旨在評估這種干預的臨床結果。根據使用視覺模擬量表(VAS)和西安大略大學和麥克馬斯特大學骨關節炎指數(WOMAC)對疼痛水平的評估(見圖2),觀察到臍帶間充質干細胞組和透明質酸組均表現出疼痛程度。12周內平均疼痛評分降低。在臍帶間充質干細胞組中,通過VAS?4和WOMAC?41測量,膝關節OA評分顯著下降。這種減少被確定大于在透明質酸組中觀察到的減少,透明質酸組實現了VAS-3所示的平均疼痛減少和WOMAC-21的平均疼痛減少。統計分析顯示,UC-MSCSecretome和透明質酸治療前后疼痛評分平均下降(通過VAS和WOMAC測量)存在顯著差異。

治療的臨床效果將根據兩種成熟的測量工具進行評估:(A) 視覺模擬量表 (VAS) 和 (B) 西安大略和麥克馬斯特大學骨關節炎指數 (WOMAC)。
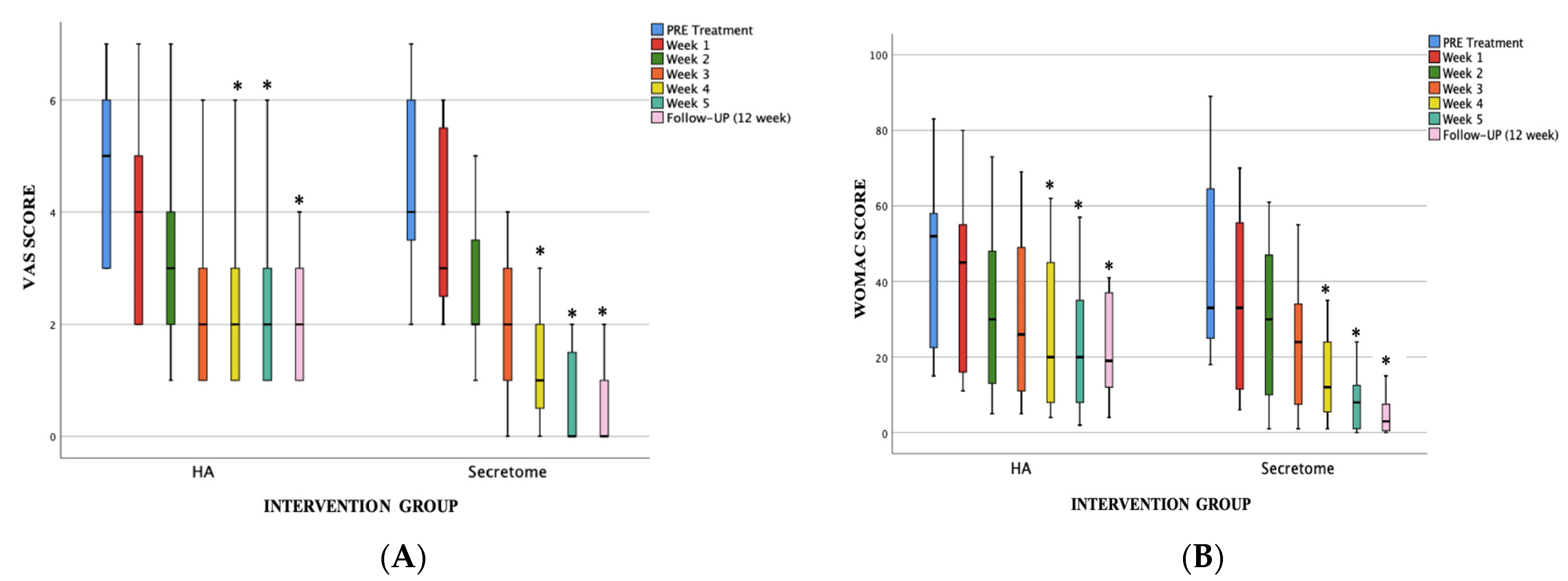
每周進行一次評估,以確定使用VAS和WOMAC指標測量疼痛強度的最佳時間(見圖3)。根據結果,第三次注射UC-MSC分泌組顯示VAS和WOMAC評估有統計顯著性下降 (p<0.05)。

根據(A)視覺模擬量表(VAS)和(B)西安大略和麥克馬斯特大學骨關節炎指數(WOMAC)評估治療的臨床效果。
生物標志物結果
經過12周的監測,發現UC-MSC分泌組和透明質酸組表現出MMP-3比率下降和TGF-β1濃度上升。在UC-MScSecretome組中,MMP3比率顯示降低了-2.81ng/mL,而TGF-β1水平顯示增加了10,221.60pg/mL,與透明質酸組相比更高。數據統計分析(圖4)顯示UC-MSC分泌組和透明質酸干預前后MMP-3減少率和TGF-β1增加率存在顯著差異。

該研究檢查了治療評估前和治療后12周的 ( A ) MMP-3和 ( B ) TGF-β1的平均血液水平。
討論
骨關節炎引起的膝蓋疼痛癥狀常常促使人們尋求醫療保健。疼痛的嚴重程度可能表現出取決于關節損傷程度的變異性,并且在個體和關節類型之間存在差異。關節內注射的主要目的是減輕疼痛。據我們所知,這項研究是第一個評估在兩個不同患者組中施用UC-MSC分泌組和HA的比較效果的臨床試驗,評估主觀結果和生物標志物。
從初次注射后一周開始,一直持續到注射后12周,兩組患者的VAS和WOMAC評分均表現出統計學上的顯著改善。根據研究結果,第三次施用UC-MSC分泌組導致VAS和WOMAC評分出現統計上顯著的降低。在UC-MSCSecretome組中,平均VAS評分從5顯著下降至1,即12周后較基線下降80%。相比之下,透明質酸組報告VAS疼痛從5降低至2,相當于降低60%。在整個12周期間,兩組的WOMAC分數都有顯著提高。
UC-MSC Secretome組的平均WOMAC評分從46分顯著下降至5分,12周后較基線下降89%。相比之下,透明質酸組觀察到從45減少到21,相當于減少了約47%。根據既定標準,達到這種水平的疼痛減輕表明與慢性疼痛相關的臨床研究取得了成功,該標準認為疼痛減輕至少30%表明存在相當大的臨床意義差異。
此外,兩組患者在臨床獲益的同時,在生化檢測方面也發生了變化。本研究的結果表明,與接受透明質酸治療的組別相比,接受UC-MSC分泌物關節內注射的組別在注射后12周內,MMP-3水平出現了統計學意義上的顯著下降,而TGF-β1水平則有所上升。
多項研究表明,骨關節炎 (OA) 疼痛的減輕可能與關節炎癥的下調有關。這種效應被認為是由于抑制核κ因子B (NF-κB)和環氧合酶-2 (COX-2)所致,這兩者都是炎癥途徑的重要組成部分,對成骨細胞祖細胞的激活有直接影響細胞和軟骨細胞。
圖5說明了UC-MSC分泌組在骨關節炎 (OA) 進展中的關鍵作用。UC-MSC分泌組已被認為對軟骨結構具有有益的影響。這種效應可歸因于多種生長激素(TGF-β1)的存在,這些激素能夠直接刺激軟骨細胞增殖,從而促進軟骨再生。此外,TGF-β1信號傳導通過抵消促炎細胞因子的分解代謝作用來保護軟骨破壞。特別是,在透明質酸組中沒有觀察到這種生長促進特性。

結論
本研究結果表明,基于VAS和WOMAC指標,臍帶間充質干細胞分泌組和透明質酸的施用有效影響膝骨關節炎患者疼痛的減輕,與透明質酸相比,臍帶間充質干細胞分泌組的疼痛減輕更顯著。在有利于UC-MSC分泌組的主觀結果中實現顯著差異,生化測量中存在MMP-3減少和TGF-β1增加的趨勢。我們建議進行更多高質量的研究來支持這些結果。
參考資料:Partan, R.U.; Putra, K.M.; Kusuma, N.F.; Darma, S.; Reagan, M.; Muthia, P.; Radiandina, A.S.; Saleh, M.I.; Salim, E.M. Umbilical Cord Mesenchymal Stem Cell Secretome Improves Clinical Outcomes and Changes Biomarkers in Knee Osteoarthritis.J.Clin.Med.2023,12,7138. https://doi.org/10.3390/jcm12227138。
免責說明:本文僅用于傳播科普知識,分享行業觀點,不構成任何臨床診斷建議!杭吉干細胞所發布的信息不能替代醫生或藥劑師的專業建議。如有版權等疑問,請隨時聯系我。
掃碼添加微信