干細胞是人體內的一種特定細胞,具有自我更新、自我修復、以及定向分化的潛能,干細胞可分化為不同組織和細胞。干細胞的特性使它成為了非常好的人體組織修復與再生的材料。
早在,2016年,國務院關于印發“十三五”國家戰略性新興產業發展規劃的通知,首次將干細胞技術納入我國“十三五”發展規劃及中長期發展綱要中,干細胞與再生醫學作為國家戰略發展支柱產業。
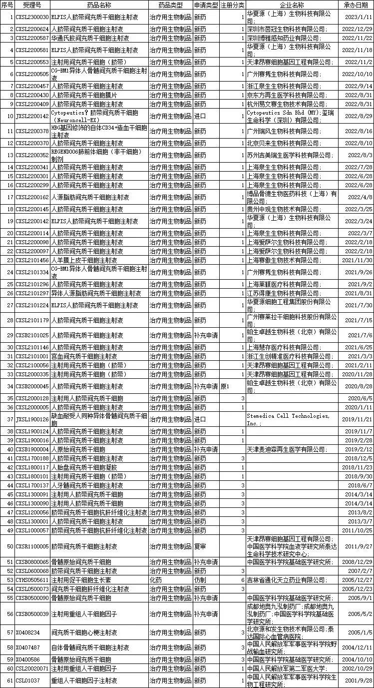
干細胞技術推動了我國臨床科研和生命科技的進步
獲得國家藥品監督管理局藥物臨床試驗批準的干細胞項目61項(結止2023年1月)

可以看出,間充質干細胞是當今干細胞藥物研發中最受歡迎的一種,在所有干細胞新藥研發中占比十分顯著。
涉及腦中風、卵巢早衰、糖尿病、肝硬化、銀屑病、膝骨關節炎、心梗、系統性紅斑狼瘡、宮腔粘連、小兒腦癱等多個系統的疾病,可以說撐起了相關研究的半邊天。
在我國,干細胞按藥品、技術管理的“雙軌制”監管。企業的干細胞制劑鼓勵按藥品申報,由國家食品藥品監督管理總局(NMPA)監管;醫療機構主導的生物醫學新技術,即醫院制劑可按醫療技術進行管理,由衛健委監管。
目前,我國已經有近20款間充質干細胞新藥申請獲得臨床批件,最近又有11個干細胞臨床研究項目完成國家衛健委備案,截至2021年11月,干細胞臨床研究備案項目達到111個。國內已批準成立的干細胞臨床研究備案機構140家。
國外干細胞最新研究進展
Gamida獲得FDA的孤兒藥資格,用于造血干細胞移植。一家領先的細胞和免疫治療公司Gamida Cell宣布美國FDA已授予NiCord孤兒藥資格認定,作為造血干細胞移植(HSCT)的治療方法。NiCord已獲得美國FDA突破性療法認定,是第一個獲得此稱號的骨髓移植替代品。它還獲得了美國和歐盟的孤兒藥資格。在美國,歐洲和亞洲,正在進行一項評估白血病和淋巴瘤患者的NiCord的3期研究(NCT02730299)。
SanBio:SanBio簽訂干細胞治療失智癥的聯合研究協議
專注于神經疾病再生醫學的SanBio公司宣布與慶應義塾大學醫學院達成關于SB623治療失智癥的聯合研究協議。SB623是一種再生細胞藥物,正在美國進行慢性卒中的臨床試驗,在日本和美國進行治療慢性創傷性腦損傷的試驗。SB623由來自成體骨髓的間充質干細胞組成,這些干細胞經過基因改造,釋放各種生長因子,并在中風或創傷性腦損傷引起的損傷部位給藥時促進神經細胞再生,被認為是一種可以恢復功能喪失的干細胞療法。
Axol Bioscience Ltd:Axol Bioscience推出人源ipsC衍生的心房心肌細胞
Axol Bioscience公司,宣布推出人源iPSC衍生的心房肌細胞,用于發現和開發新的治療方法,促進我們對心血管疾病的理解。這種生理學相關的人源ipsC衍生細胞系快速且易于使用,可在解凍后7天內制備好,用于電生理學、心臟收縮性研究、心肌病篩查和研究。這些細胞將為研究人員提供一個快速且易于使用的平臺,用于研究人類心房肌細胞,創建心房特異性疾病模型,以及后續開發用于識別疾病和改善治療。
全球首個iPS細胞治療帕金森臨床試驗獲批
日本政府已經批準了京都大學使用誘導多能干細胞(iPS細胞)治療帕金森的臨床試驗。這也是日本政府第三次批準將iPS衍生細胞移植到病人體內。據悉,今年早些時候,京都大學的審查委員會就通過了這項臨床試驗。這將是首個旨在開發iPS細胞藥物的臨床試驗。該團隊利用人的iPS細胞制成了神經元細胞,并將這些神經元細胞移植至8只患有帕金森的猴子腦中,結果顯示,猴子的手足顫抖狀況得到了改善,開始變得靈活,經過最長2年時間的觀察,未出現長出腫瘤的異常狀況。
《The EMBO Journal》:研究發現促黃體生成素調節造血干細胞穩態
該工作首次揭示一種青春期起始分泌的腦垂體激素——促黃體生成素(Luteinizing hormone,LH)在造血干細胞(HSC)穩態維持中的重要調控功能。這項工作首次提出了一種HSC的計量機制——腦垂體通過分泌LH讓HSC的數量在青春期實現穩態。一旦HSC的LH信號感應受阻,骨髓內HSC會在青春期繼續擴增,最終導致骨髓過度造血和白細胞增多癥(Leukocytosis),與此相伴隨的是,白血病進程的加速。因此,該文也首次揭示了干細胞計量機制生理學意義:維持正常造血和抑制白血病進展。
《Stem cell》:干細胞療法有助于治療克羅恩氏病
根據最近的一項臨床試驗結果,利用干細胞移植的手段能夠幫助克羅恩氏病患者重塑免疫系統。而在這一試驗中,作者希望了解能否通過相似的手段降低克羅恩氏病患者腸道的炎癥反應。在這項試驗中,患者接受了化療以及激素療法用于激活體內的干細胞,之后通過血液分離的方式得到。進一步的化療用于清除體內的免疫系統。最后將干細胞回輸患者體內。患者最終能夠形成全新的免疫系統。盡管該研究仍在進行中,結果還不明朗,但研究者們相信這種療法有望降低患者的炎癥程度,并最終達到治愈的效果。
《Nature Methods》:利用人多能性干細胞產生脊髓神經干細胞
在一項新的研究中,來自美國加州大學圣地亞哥分校醫學院的研究人員報道,他們利用人多能性干細胞(hPSC)成功地產生脊髓神經干細胞(NSC)。這些脊髓神經干細胞分化為不同的能夠在整個脊髓中擴散的細胞群體,而且能夠在很長的一段時間內加以維持。在將體外培養的源自hPSC的脊髓神經干細胞移植到受損的大鼠脊髓中之后,這些研究人員注意到這些移植物富含興奮性神經元,讓大量的軸突長距離延伸,讓它們形成的靶結構接受神經支配,并且能夠實現強健的皮質脊髓再生。
《Cell Research》:新研究挖掘干細胞在移植療法中的應用來自Stowers醫學研究所的研究者們發現了一種能夠從成體臍帶血中分化形成造血干細胞的方法。這一方法能夠更加方便特殊疾病,例如白血病、血液紊亂、免疫系統疾病以及癌癥等的,除了少部分配型成功的骨髓移植以外的細胞移植治療。在這項發表在《Cell Research》雜志上的研究中,作者等人研究了一種參與調控多條造血干細胞自我更新通路的蛋白,該蛋白叫做Ythdf2.他們發現mRNA水平的特殊修飾能夠幫助造血干細胞自我更新,而且能夠促進mRNA的降解。
總結
與傳統的藥物治療、手術治療相比較,干細胞療法具有低毒性、治療材料來源充足、治療范圍廣闊等特點,在治療某些疾病方面有著無法代替的優點,解決人口老齡化和醫療系統的負擔。從理論上說,干細胞技術能夠治愈所有的疾病。
當前,修復、替代衰老損傷器官是醫學界的重點研究領域,再生醫學研究和應用成為治療許多傳統醫學難以解決的重大疾病的新希望。??
未來,以干細胞治療為核心的再生醫學,將成為繼藥物治療、手術治療后的另一種疾病治療途徑,從而成為新醫學革命的核心!
更值得關注的是,今年兩會干細胞再次被眾多政協委員建言獻策。可見,干細胞與民生的關系得到了新的認識,干細胞也正向我們走來。
我國干細胞在多種疾病臨床干預應用方面向前邁進了一大步。“細胞承載希望,科技實現夢想”。為患者帶去治愈希望,惠澤中國百姓。干細胞藥品化路漫漫,任重道遠仍需努力!
免責說明:本文來源于干細胞之家網,僅用于傳播科普知識,分享行業觀點,不構成任何臨床診斷建議!杭吉干細胞不保證信息的準確性和完整性。所發布的信息不能替代醫生或藥劑師的專業建議。如有版權等疑問,請隨時聯系我。
掃碼添加微信